近日,公司罗世琼教授与贵州省山地环境重点实验室杨占南教授,在生物学领域中科院一区TOP期刊Microbiological Research 在线发表,题为Effect of pathogen Globisporangium ultimum on plant growth and colonizing bacterial communities的研究性论文。该论文揭示黄花蒿(Artemisia annua)、水稻(Oryza sativa)和鱼腥草(Houttuynia cordata)选择性招募的细菌群落可以减轻病原真菌Globisporangium ultimum对幼苗生长的危害(图 2)。

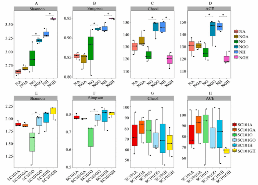
植物从土壤中招募与植物相关微生物,促进植物生长并减轻病原微生物对植物健康的不利影响。然而,微生物-植物互作减轻病原微生物对植物生长危害知之甚少。该研究通过建立S-微系统(即灭菌土壤生长的无菌黄花蒿、水稻或鱼腥草幼苗接种101种组合细菌(简称为101细菌))和N-微系统(自然土壤生长的无菌黄花蒿、水稻或鱼腥幼苗接种101细菌),评价定殖细菌群落减轻病原真菌G. ultimum对植物生长的危害。S-微系统和N-微系统分别接种和不接种G. ultimum处理后,调查其幼苗生长和细菌群落的丰度和组成。在黄花蒿、水稻和鱼腥草S-微系统中,接种G. ultimum的植株高度和根数分别较对照高34.5%和52.8%、23.1%和31.3%、102.1%和45.0%。在黄花蒿、水稻和鱼腥草S-微系统未接种G. ultimum的细菌群落多样性及丰度总体高于接种G. ulticum的系统(图 3)。根瘤菌属Rhizobium、假单胞菌属Pseudomonas、短壁单胞菌属Brevundimonas和杯状菌属Cupriavidus相对丰度与植物生长呈显著正相关(图 4)。

图2

图3

图4
该研究发现,植物物种和生物因素调控细菌群落组成和丰度,减轻病原真菌G.ultimum对黄花蒿、水稻和鱼腥草生长的危害。这为细菌群落人工重组作为生物农药的潜在应用提供新视角,为深入研究微生物-植物互作抵抗病原微生物的生物防治提供一种生态策略。
该论文的共同第一作者为山地环境重点实验室杨占南教授和威廉希尔体育2020级微生物专业研究生王玉,威廉希尔体育罗世琼教授为通讯作者。该研究得到国家自然科学基金(41761010)、贵州省自然科学基金(黔科合基础 [2020]1Y179),黔科合基础-ZK [2024]一般426)的资助。
论文链接:https://doi.org/10.1016/j.micres.2024.127937
原文链接:https://news.gznu.edu.cn/info/1013/104375.htm